半導体用語集
分解せん断応力
英語表記:resolved shear stress
物質に応力を加えてずれ変形を起した時に、すべり面上のすべり方向に分解した応力をいう。ずれ変形(せん断変形)は、体積変化を伴わない変形のことである。Si、Geなどのダイヤモンド構造の結晶では、すべり面{111}、すべり方向〈110〉に対応して分解した応力成分と歪成分によって転位の発生・運動を議論する。
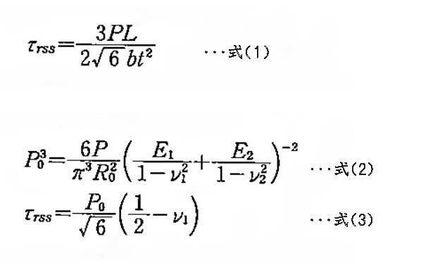
3点曲げ試験での荷重と分解せん断応力は式(1)の関係にある。
ここで、τrssは最大分解せん断応力、Pは降伏または破壊に要した最大荷重値、Lは指示点間距離、bは試料幅、tは試料厚さである。
球圧子試験(ball indentation test)での球圧子の荷重と分解せん断応力は式(2)、式(3)の関係にある。
ここで、τrssは分解せん断応力、P₀は最大圧力、Pは自重による荷重値、R₀は球圧子の半径、E₁は基板のヤング率、E₂は球圧子のヤング率、ν₁は基板のポアソン比、ν₂は球圧子のポアソン比である。
関連製品
「分解せん断応力」に関連する製品が存在しません。キーワード検索
フリーワードやカテゴリーを指定して検索できます
関連用語
関連特集
「分解せん断応力」に関連する特集が存在しません。
会員登録すると会員限定の特集コンテンツにもアクセスできます。




