半導体用語集
表面ポラリトン
英語表記:surface polariton
ポラリトンは物質内部の分極波と電磁波の結合した連成振動波であるが、特に表面近傍に局在した分極波と結合し、電磁波自身も表面近傍に局在したエバネッセント光となっている場合に表面ポラリトンと呼ぶ。分極波としては、表面エキシトン、表面光学フォノン、表面プラズモンなどがあるが、バルクの時と同様、分極波の種類を強調して、表面エキシトンポラリトンなどのように呼ぶこともある。バルクのプラズモンは純粋に縦波なので、バルクのプラズモンポラリトンは存在しないことに注意する。また、実際には電磁波と結合した分極波を扱いながら、「ポラリトン」をつけていない文献例もある。
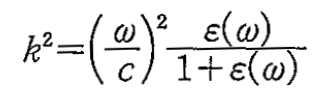
ポラリトンを詳細に議論するには、分極波に対する非局所的な誘電関数を用いた非局所光学応答理論を必要とするが、一般に電磁波の分散の方がはるかに大きいので、物質の誘電関数の分散性を無視した局所的な誘電関数ε(ω)でも表面の詳細を問題にしなければある程度の議論が可能である。このような物質が半無限空間を占めており、残りが真空であるとすると、境界面で電場の法線方向の微分が不連続となるために表面において分極電荷が生じ、表面に平行な方向には実数の波数を持つが、表面垂直方向には両方とも指数関数的に減衰する、Maxwell方程式の固有モードの解が存在する可能がある。ただし、一方の領域で電場が境界面に平行な場合(s偏光あるいはTEモード)、電場の連続性からもう一方の領域でも電場は境界面に平行となり、電場に不連続は生じないので、p偏光(TMモード)である必要がある。物質内部と真空領域でこのような解を仮定し、境界においてMaxwellの境界条件を用いると、 ε(ω) < -1 の時、分散関係、下記式を持った表面ポラリトンが存在することがわかる。ただし、k、ω、cはそれぞれ表面平行方向の波数の大きさ、振動数、真空中での光速である。
式に自由電子気体の誘電関数 ε(ω) = 1 - ωᴘ²/ω² を当てはめてみると、k~0でω~ck、kの大きいところで、 ε(ω) = -1 に対応する表面プラズモンの振動数、 ωsᴘ = ωᴘ / √2 に漸近する表面プラズモンポラリトンの分散関係がえられる。
また、エキシトンに対応するような誘電率 ε(ω) = 1 +ωᴘ²/(ωᴛ -ω²) を用いると、 ε(ω) < -1 から ωᴛ < ω < ωs の領域に限られる。ただし、ωsは上と同様、 ε(ωs) = -1 で定義される。バルクのエキシトンは縦波と横波に分裂するが、分散性を無視した今の近似の範囲では、これらはそれぞれ、ωʟ、ωᴛに振動数を持つ。ただし、ωʟは ε(ωʟ) = 0で定義され、今のモデルでは ωʟ > ωs となる。このバルクのエキシトンによるポラリトンは下枝のモードが 0 < ω < ωᴛ に、上枝のモードが ω > ωʟ に存在する。このように表面ポラリトンはバルクのポラリトンの存在しない振動数領域に生じる。上の表面プラズモンポラリトンと異なり、振動数領域に正の下限が存在するために、波数は ωᴛ/c 以上でなければならない。ここでの議論は前述の誘電率におけるωᴛを横波光学フォノンの長波長極限での振動数と解釈すれば、表面光学フォノンの場合にもそのまま当てはまる。この時、ωʟは縦波光学フォノンの振動数に相当する。
関連製品
「表面ポラリトン」に関連する製品が存在しません。キーワード検索
フリーワードやカテゴリーを指定して検索できます
関連用語
関連特集
「表面ポラリトン」に関連する特集が存在しません。
会員登録すると会員限定の特集コンテンツにもアクセスできます。




