半導体用語集
フェルミ準位
英語表記:Fermi level
温度か絶対零度 T = 0 の時、金属内の自由電子の持つ最大のエネルギーのことで、以下では E⁰ƒ と表わす。 E⁰ƒ は、T = 0 の時のフェルミ準位、またはフェルミエネルギーと呼ぶ。この時エネルギー準位は、E = 0 から E = E⁰ƒ まで完全に電子によって占められている。 すなわち E < E⁰ƒ の時分布確率 f(E) = 1 である。また、E⁰ƒより高いエネルギーを持つ電子は存在しない。すなわち、E > E⁰ƒ 時 f(E) = 0 である。しかしながら、T > 0 では、フェルミ準位の近傍で変化が起こる。この原因は、熱エネルギーであり、 T = 0 では完全に電子によって占められていた準位から、それよりエネルギーの高い、以前は空いていた準位へ電子が移り、境界がはっきりしなくなる。つまり、分布確率のエネルギー依存性に変化を生じる。このような電子の分布はフェルミ・デイラックの分布関数 f(E) = 1/ ( 1 + exp(( E - Eƒ ) / kT)) に従い、f(Eƒ)は温度に関わらず1/2である。
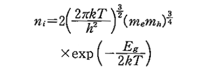
真性半導体では、自由電子は熱エネルギーによって価電子帯から励起されたもので、電子と正孔の数は常に等しい。真性半導体ではEƒはエネルギーギャップEgのほぼ中央(Eƒ ≒ 1/2 Eg ≡ Eᵢ)にあり、E ≥ Ec の伝導帯とE ≤ Eᵥの価電子帯にそれぞれ同数の電子と正孔を生じさせる。この数を真性キャリア密度と呼び、下記の式で表わす。
Egが小さいとEƒから測ったEcおよびEᵥまでの間隔が小さいので、同じ温度でも真性キャリア密度は大きくなる。
n型半導体では、価電子帯に正孔を導入することなく導電帯に電子が現われることに対応してフェルミ準位はEᵢより上方に移動する。すなわち、フェルミ・ディラックの分布関数とエネルギーバンドの位置が相対的にずれるので、真性半導体における対称的なキャリア分布は崩れ圧倒的に多数の電子と少数の正孔とが存在することになる。p型半導体では、フェルミ準位はEᵢより下方に移動し、少数の電子と多数の正孔が存在することになる。
不純物半導体では電子数nと正孔数pが大幅に異なっているが、熱平衡にある限り np = n² が成立する。n型半導体では、浅いドナー準位は室温程度でほとんどイオン化しているので、n ≒ Nᴅ となり、したがって小数キャリアである正孔密度は、p ≒ n²ᵢ / Nᴅ で与えられることになる。p型半導体中では正孔密度はNᴀであり、電子密度は n ≒ n²ᵢ / Nᴀ となる。
関連製品
「フェルミ準位」に関連する製品が存在しません。キーワード検索
フリーワードやカテゴリーを指定して検索できます
関連用語
関連特集
「フェルミ準位」に関連する特集が存在しません。
会員登録すると会員限定の特集コンテンツにもアクセスできます。




