半導体用語集
ポアソン比
英語表記:Poisson's ratio
現実の材料は二次元や三次元であり、弾性的にもそのように取り扱わなければならない。この場合ポアソン比の概念が必要になる。
棒の両端を引っ張ったり押したりすると、その垂直方向は縮んだり、伸びたりする。いま棒の軸方向に沿う単位長さあたりの伸びまたは縮み量をβとすると、垂直方向にはβのある定数倍νβだけ縮んだり伸びたりする。この値νをポアソン比といい、弾性の範囲内で材料に固有な値を示す。
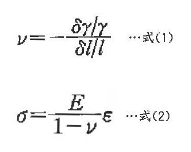
たとえば、針金を長さlから l + δl まで伸ばす時、その半径がγから γ + δγ になったとすれば、下記式(1)である。
半導体プロセスの応力-歪関係式はほとんどがポアソン比を用いて記述される。たとえばシリコン基板を熱酸化した時、両者の膨張係数の違いにより応力σが誘起される。シリコン基板中のSi-SiO₂界面における歪εは下記式(2)で表わされる。
Eはヤング率、νは方位により異なり、〈100〉で0.3、〈111〉で0.28である。
へテロエピタキシャル成長では基板とエピ層の格子定数が異なるため、弾性限界を超えるとミスフィット転位が発生する。歪が小さい場合はエピ層の面内方向の格子間隔は基板のそれに引きずられて等しくなったままで、界面に垂直な方向の格子がポアソン比に従って伸び縮みする。エピ層の膜厚が臨界値を超えると、ミスフィット転位が発生する。
関連製品
「ポアソン比」に関連する製品が存在しません。キーワード検索
フリーワードやカテゴリーを指定して検索できます
関連用語
関連特集
「ポアソン比」に関連する特集が存在しません。
会員登録すると会員限定の特集コンテンツにもアクセスできます。




