半導体用語集
ヤング率
英語表記:Young's modulus
一端を固定した棒を引っ張ったり押したりする時、棒の断面に働く応力σと単位長さあたりの変形量(歪量)εの間にはある範囲内で σ = Eε なる比例関係が成立する。この比例定数をヤング率という。
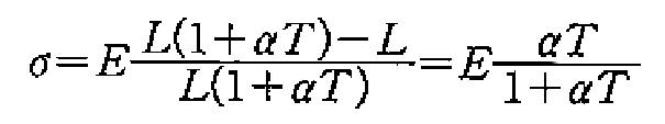
いま具体的な応力として熱応力の場合を考える。長さL、熱膨張係数α、ヤング率Eなる材料の両端を固定し、温度をTだけ上昇させた時に、この棒に生じる熱応力を求めてみる。自由な状態では棒が伸びて L (1 + αT) の長さになるはずであるが、両端が固定されているため棒の長さはLのままである。つまり { L ( 1 + αT ) - L } の分だけ圧縮応力を受けて棒は縮んでいることになる。したがって比例式から、(下記式)
1 ≫ αT であるから、σ = EαT となる。
半導体では応力現象がきわめて重要である。シリコンウェハの熱処理プロセスやエピタキシャル成長で生じるスリップ転位は熱応力によるものであり、また熱酸化膜とシリコン基板の界面で生じる応力は両者の熱膨張係数が異なるために発生する。いずれもヤング率Eが関係している。ヤング率は方位により異なる。Siの〈100〉では1.3、〈110〉では1.7、〈111〉では1.9であり、単位は10¹² dyn/cm² である。
関連製品
「ヤング率」に関連する製品が存在しません。キーワード検索
フリーワードやカテゴリーを指定して検索できます
関連用語
関連特集
「ヤング率」に関連する特集が存在しません。
会員登録すると会員限定の特集コンテンツにもアクセスできます。




